徠卡機器人全站儀助力三等水準測量
一、前言
目前高程測量方法一般分為幾何水準測量、GPS水準測量和三角高程測量三大類。采用傳統水準的方法測定點與點之間的高差,所得到的地面點高程精度較高,普遍用于建立國家高程控制點及測定高等級地形控制點的高程。對于地面高低起伏較大的地區,采用這種方法測定地面點的高程進程緩慢,有時甚至非常困難。

精密三角高程測量在丘陵地、山地、高山地區相比常規水準測量,因架站少、架站自由、靈活、快速,不需要量測儀器、棱鏡高,傳遞高程優勢顯著,能大大降低外業勞動強度,但受限于全站儀的硬件性能,此前一直未能在生產中實際應用;徠卡測量機器人的出現,打破了三角高程測量不能代替高精度水準測量的束縛,徠卡自動全站儀多測回自動觀測、自動識別限差,給野外測量帶來很大的便利,尤其夜間觀測成果更佳。
二、精密三角高程測量技術的可行性研究

作業流程:
檢測棱鏡互差,并檢核棱鏡的加裝是否符合要求,同時還要對全站儀進行組合檢校;
在起點布設棱鏡桿,在距離起點較近的一點(轉點1),布設主站;
主站在轉點1依次觀測棱鏡桿低棱鏡(①)和棱鏡桿高棱鏡(②);
主站不動,在轉點2架設輔站。依次進行如下觀測:后測站觀測低棱鏡(③)、前測站觀測低棱鏡(④)、前測站觀測高棱鏡(⑤)、后測站觀測高棱鏡(⑥);
主站換站至轉點3,輔站不動。依次進行如下觀測:后測站觀測低棱鏡(⑦)、前測站觀測低棱鏡(⑧)、前測站觀測高棱鏡(⑨)、后測站觀測高棱鏡(⑩);
輔站換站,依次循環進行高程的傳遞至接近末點處;
在最后的轉站,主站依次觀測末點高低棱鏡。
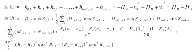
數據模型:

限差

三、項目驗證
為了驗證精密三角高程測量的精度, 內蒙古自治區測繪院使用徠卡TCRA1201全站儀、徠卡TS30全站儀及徠卡TS60全站儀等檢測了很多段用數字電子水準儀測得二等水準路線。其結果如表所示, 精密三角高程測量是完全可以達到二等水準測量的要求。

四、經驗積累、廣泛應用
自2010年5月以來,內蒙古自治區測繪院在呼和浩特、包頭、鄂爾多斯、巴彥淖爾市、烏蘭察布市、赤峰市已成功的使用徠卡自動全站儀精密三角高程測量代替二等水準測量1700多千米;在烏蘭察布市、呼倫貝爾市、興安盟、赤峰市等地方成功的使用徠卡自動全站儀精密三角高程測量代替三等水準測量4000多千米。

經過數年的研究,不同時間,不同區域,所測得的數據基本都能滿足國家二等水準測量規范的要求。徠卡自動全站儀搭配三角高程測量軟件、計算軟件和正確的測量方法,達到了目的和效果。同時我們也積累了諸多的外業經驗:
盡可能使用無伸縮腳架觀測,測段起、末水準點上,對中桿要放穩,保持高度不。
對向觀測時,如一站觀測時間過長,應重測對向觀測。
白天平均氣溫超過26℃時,在保障安全的作業前提下,最好在夜間作業,提前踏勘、選定觀測路線和測站點,更能顯著提高作業效率。
白天作業視線長度不宜超過800米,經過大量測量數據證明500米左右為最佳觀測距離。
白天作業時間遵照水準測量規范上的要求,由于在陽光直射和地面溫度較高,熱氣浪大時大氣折光影響較大。
自動照準觀測,視場內不能有遮擋物在棱鏡前。
視線不能通過煙火上空,觀測目標背后不能有大面積反光地物(蔬菜大棚),大面積水域。
在ATR自動照準時盡量避免陽光直射,由于正對太陽時,在自動照準光路中會有噪聲,從而影響自動照準的精度。

五、總結
傳統二、三等水準在山地、高山的測量中,需要耗費大量的人力、物力和財力,且效率極低。以傳統水準測量為例,在山地連測二、三等水準,單程連續觀測前后視距5-10米,一站一站連測,一個組一天連測3-5公里左右,依據財政部、國家測繪局2009 年頒布的《測繪生產成本費用定額》計算,100個水準點需要聯測1000千米。若對這些點進行二等水準觀測,100個水準點觀測的費用為207萬元,一個組5人需要400天完成。而同樣任務利用徠卡自動全站儀精密三角高程聯測二等水準,一個組一天聯測8-10公里左右,200天以內就可以完成1000千米的水準測量,節省大量的人力、物力。應用徠卡自動全站儀精密三角高程代替二、三等水準測量在困難地區聯測,可產生巨大的經濟效益。
徠卡自動全站儀精密三角高程測量具有傳遞高程靈活、方便、受地形條件限制較少等優點,徠卡測量機器人超高的測角測距精度,為精密三角高程測量提供了硬件保障,目前徠卡自動全站儀精密三角高程測量在大地測量、工程測量中得到了廣泛的應用。
更多相關
【應用案例】徠卡MS60全站儀在方量測量中的應用
在電廠、煤礦、冶金等行業,對于料堆體積和重量的測量是十分重要且復雜的工作,并要求能對測量結果進行三維顯示和后處理輔助分析等。如火電廠的存煤盤點;鋼鐵廠的原料礦堆測量;港口碼頭的料堆核準;公路、鐵路...
DJI 大疆發布Mavic 3 Classic旗艦影像點亮創作靈感
DJI大疆正式發布DJIMavic3Classic,以旗艦影像點亮創作靈感,聚焦大作光彩。Mavic3Classic以其在影像素質、飛行性能、智能功能等多方位的出色表現...
天寶DINI03電子水準儀使用指南及常見問題匯總
天寶DINI03是一款高精度的電子水準儀,廣泛應用于國家一等、二等水準測量及各類精密工程測量。其操作簡便、精度可靠,是測量工程師的得力測繪儀器工具。一、使用...
ZT10全站儀搭配中緯智測——簡單高效的全站儀操作軟件
隨著時代的進步、科技的發展,現代工程對施工質量與作業效率的要求愈來愈高,全站儀作為廣泛應用于施工測量中重要設備,人們對它的網絡化、智能化等需求同樣也隨之提高。 傳統全站儀受限于系統和屏幕尺寸,屏...
徠卡TS16全站儀 優勢介紹
徠卡TS16全站儀高精度測量機器人自從推出以來,經過時間和市場測試,仍受到用戶的認可。現在,徠卡TS16全站儀全新升級,讓我們詳細看看新款徠卡TS16的優勢!自動量高更方便新款徠卡TS16全站儀增加...
周恩來親自“點將”的測繪專家
陳外歐是湖南省茶陵縣人,1929年參加共產主義青年團,同年參加工農紅軍,1931年轉為中國共產黨黨員。他參加過二萬五千里長征,歷任營長、團長、副旅長、軍參謀長、軍委測繪局局長兼測繪學院院長、國家測...
陜西省北斗衛星導航定位基準站系統(CORS)與鄰省實現數據共享
為積極響應國家關于“一帶一路”倡議,提升陜西省與鄰省交界地區的衛星導航定位系統服務能力,自然資源部下屬陜西測繪地理信息局建成陜西省北斗衛星導航定位系統,日前,該系統與鄰省及相關部門基準站實現數據共享...
南方測繪RTK創享V2:高精度測量的革新力量
南方測繪作為中國測繪地理信息行業的領軍企業,其推出的RTK創享V2接收機代表了國產高精度GNSS設備的先進水平。這款設備集成了多項技術創新,為工程測量、地形測...











環球測繪微信